LONG MARCH Tracy (54 photos)
Katie Cox Masturbation
Form 4 Sec example
Riz @ working on commissions @ ic21_desu Hogwartz
Girls from gta v
1517687959 Zhena-lenochka-19.jpg (erro-girls (private))-SK
Svetlana Loboda 2006 in the magazine
Margot Robbie Wolf with Wall Street
Kate Apton GTA 5
Trad WiFe
Victoria Pichkurova Feet
Devil's trill Tartini notes
Daikin Emura Ftxg35LS/ FTXG35LW/ FTXG25LS
Dominic Suine Shark at Free
Shelby Velinder GTA
Detroit Become Human Streep Club Club
Wallpaper drawn girls
European size is female
Drawing gearbox Gazelle 3302
White line
The girl eats pizza
Ljourbring Champion Champion LS5001N
Adriana Lima in stockings
Oh this science film 1985
Lara Croft Prywinko
Kadath comic book explosive date Tracy
Bar Refaeli Bikini
Nikki Morris Need for Speed Underground 2
I'm waiting for girlfriends for tea I wipe the glasses
Chip and Dale Gaychka 18
Overwood tracer and widow
Tracer Overwotch
Robot Esh Overvotch

NOVEMBER 2020 calendar
Mega.nz drain

Identity V Orpheus
Smart marketing goals
Goals achievement table
Fortnite mischievous traces
Dvorfs Tolkien
China flag
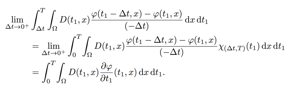
The most difficult formula
Ellina Müller Bedarine photo shoot
Twokinds Rhine
Overvotch tracer pose
Alexis Brill Lauren Garcia
Overvotch tracer footfitish
Tracy Jordan Stuffing Belly
Chinese launch vehicles
How to make an enema
Cheeds and Incels Staisi

Jason Siegel and Cameron Diaz Films
Tracy LWT
Soprano clan stripper
Gta 5 girl from cover
Similar photos
↑